无论汽车还是机器,都是7分保养,3分修理,以养代修,是节省维修费用、延长设备使用寿命的关键,而设备的润滑是保养的关键环节。
先简要地回顾一下润滑油品的分类:润滑油分为车用油和工业油这两大块,汽车发动机使用的发动机油(俗称机油)、用于齿轮润滑的齿轮油、压缩机使用的压缩机油、汽轮机油、冷冻机油、液压油等等,虽然性能和功能有差别,但是都属于润滑油。另外润滑脂(俗称黄油)则广泛用于轴承、开式齿轮等。润滑油以粘度(黏度)分牌号,润滑脂以稠度(也称为锥入度、针入度)分牌号。
制定一个科学的润滑计划要包含五个方面,我们可以理解为设备润滑的5R原则:
前面几期我们已经讨论了四点:如何选择正确的润滑油、润滑脂;如何选用、检测润滑油、润滑脂的质量;润滑油、润滑脂的用量问题;以及如何防止用错油品。这一期OLM接着和您讨论最后一点,第五个R:掌握正确的换油时间。
润滑脂:
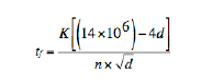
轴承在正常转速、负载和温度下工作的加脂周期可按如下公式进行估算:

tf = 加脂周期,小时
d = 轴承内径,毫米
n = 转速,转/分钟
K = 系数,这里的系数只考虑了轴承类型
K = 1 滚锥轴承
K = 5 滚柱轴承
K =10 滚珠轴承
注:本公式里的系数K只把轴承种类因素考虑进去,也就是说如果使用条件较为理想,环境干净、温度不高,不接触水等污染物,那么换脂周期可以从上面的公式进行计算。
有这些情况的,酌情缩短换油周期:湿度大、温度高,负载重、环境肮脏、周围有振动、接触腐蚀性物质等情况,请联系油品供应商。
润滑油:
使用润滑油进行润滑的系统,换油时间和油箱的大小、润滑系统的类别有关,从OEM(设备厂家)的建议出发,结合实际的使用条件,掌握合适的换油时机。50加仑以下,约190升以下的非循环系统(例如喷溅润滑、油浴润滑的齿轮箱),可根据设备厂家推荐的时间和实际使用条件,定期换油。例如规格同样为ANSI小型离心泵,工厂A使用这类泵时,换油周期为一个季度一,工厂B则两年一换,造成这种差别的原因就是使用的环境。
OEM会给用户建议换油周期,但是某些环境因素则要求我们缩短换油周期。润滑油变质的原因是氧化,接触到水分、高温、污染物,润滑油的氧化速度就加快。由于进水、接触杂质污染,工厂A需要一个季度就换一次油。除了经验判断,通过油液检测能给出准确的换油时间。
50加仑(190升左右)以上的润滑系统则应该通过油液检测确定换油时机。日常维护中,目视检查油液的状态也很重要。油液的颜色变深、发黑往往说明油液已经氧化;而油液浑浊,有悬浮物则说明有污染物。
润滑油变质的主要原因是氧化,而氧化速度与温度有着直接关系,60℃以上,温度每升高18华氏度(10℃),油的寿命就减半。实际使用中,如果油温高于OEM的推荐,那么换油周期也应该相应调整。润滑油氧化会产生油泥、漆膜、生成酸性物质,这些物质对设备有害,而且反过来加速油变质。通过检测润滑油里的酸值(AN),可以监测润滑油的氧化。润滑油受到污染也会引起油变质,通过油液检测水分和颗粒污染物,能监测润滑油的清洁度。
小结:润滑油、润滑脂的换油周期遵循如下规律:
容量较小的润滑系统(50加仑以下),可以根据OEM的推荐,结合实际使用条件和温度定期换油。另外,油液检测有助于制定准确的换油周期,建议通过油液检测制定换油计划。
日常维护中,目视检查润滑油的颜色、透明度,注意油泥、漆膜等氧化产物。
较大的润滑系统(50加仑以上),应该根据油液检测来确定换油时间。
使用合成油,有助于延长换油时间。如果使用温度较高(80℃以上),应该考虑使用合成油。
不要舍不得换油,润滑油对机器非常关键,如果变质不换,会造成设备损害、缩短设备寿命、造成故障停机。
(转载请先联系sarah.zhang@olmzhoukan.com)
欢迎投稿或建议请联系:sarah.zhang@olmzhoukan.com















